Bitcoin wurde so entwickelt, dass die maximale Menge auf 21 Millionen Einheiten begrenzt ist. Es wird nicht mehr als 21 Millionen Bitcoins geben. Dieses Versprechen ist durch die Mathematik, welche in Bitcoin zu Grunde liegt, gewährleistet. Stand August 2023 sind bereits über 19,45 Millionen Bitcoins im Umlauf, was bedeutet, dass im Laufe der Zeit lediglich 1,55 Millionen weitere Bitcoins dazu kommen werden.
Die Zahl 21 wurde dabei von Satoshi Nakamoto wohl rein willkürlich ausgewählt. Es hätten genauso gut auch 10, 20, 100 Millionen oder sonst eine beliebige Zahl sein können. Das Prinzip bleibt das gleiche.
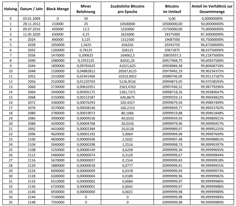
Laut der Mathematik wird voraussichtlich im Jahr 2140 die Bitcoin Gesamtmenge ausgeschöpft sein und sich in Umlauf befinden. Es kommen dann keine neuen Bitcoins mehr dazu.
Mathematische Knappheit
Warum es nicht mehr als 21 Millionen Bitcoins geben wird, liegt an den sogenannten „Halvings“. Die Bitcoin Blockchain (übersetzt Blockkette) besteht, wie es der Name sagt, aus Blöcken, die miteinander verbunden sind. In die Blöcke werden die Transaktionen geschrieben, welche im Netzwerk getätigt werden. Dabei ist jeder Block individuell, da sich die Blöcke an Menge und Volumen der Transaktionen unterscheiden. Dadurch, dass die Blöcke miteinander verkettet sind, ist es möglich den Verlauf von Bitcoin nachzuvollziehen. Die Blockchain ist also wie ein großes Kassenbuch welches hierarchisch alle Transaktionen im Netzwerk auflistet.

Die Rolle der Miner
Eine weitere Rolle spielen in diesem Prozess, die Miner. Sie stellen dem Netzwerk Rechenleistung zur Verfügung, um nach Bitcoins zu schürfen. Die Miner müssen mit Ihren Rechnern dabei im Grunde Rechenoperationen tätigen, um eine zufällige Zahl zu finden.
Die Miner stehen dabei in Konkurrenz zueinander. Wer die Zahl findet und das „Rätsel“ als Erstes gelöst hat, der hat das Recht den aktuellen Block, welcher die in der Gegenwart getätigten Transaktionen beinhaltet zu validieren und den Block somit zu schließen. Für diese Aktion erhält der Gewinner dann vom Netzwerk eine Belohnung in Form von Bitcoins ausgezahlt, welche aktuell im Jahr 2023 bei 6,25 Bitcoins liegt. Diese verdienten Bitcoins wird der Miner wiederum zum Teil verkaufen müssen, damit er die angefallenen Stromkosten und weitere Kosten für den Betrieb des Bitcoin-Minings bewerkstelligen kann. Die Bitcoins, die der Miner verkauft, kommen dann auf den Markt und befinden sich somit im Umlauf.
Die Halbierung der Belohnung
Von Satoshi Nakamoto wurde festgelegt, dass es alle 210.000 Blöcke ein Halving-Event geben soll. An jedem Halving-Event wird die Block-Belohnung für die Miner um die Hälfte reduziert werden. Die Menge der Bitcoins, die neu hinzugefügt werden, halbiert sich also mit jedem Halving-Event. Anders ausgedrückt halbiert sich mit jedem Halving die Inflationsrate Bitcoins.
Ebenfalls wurde festgelegt, dass alle 10 min ein neuer Block zur Blockchain hinzugefügt werden soll. Erhöht sich die Anzahl der Miner, die um das Lösen der Rechenoperation miteinander konkurrieren, muss die Schwierigkeit des Minings erhöht werden. So findet alle 2100 Blöcke, was etwa alle 14 Tage ist, ein sogenanntes „Difficulty Adjustment“ statt, an welchem die Schwierigkeit je nach aktueller Gesamt-Power der Miner angepasst wird, sodass weiterhin die 10 Minuten zwischen den einzelnen Blöcken eingehalten werden können.

Die erste Epoche
Mit dem Start von Bitcoin am 03.01.2009 erhielten die Miner für jeden validierten Block eine Belohnung von 50 Bitcoins. Dies hatte Bestand bis zum 28. November 2012. Hier fand das erste Halving Event von Bitcoin statt und die Miner bekamen ab diesem Tage nur noch die Hälfte, also noch 25 Bitcoins als Belohnung.
Wenn damals mit jedem Block 50 Bitcoins ausgegeben wurden, kommt man auf folgende Gesamtmenge an erschaffenen Bitcoins für diese Epoche: 50 x 210.000 = 10.500.000. In den ersten ca. 4 Jahren wurden also bereits 50 % des maximalen Angebotes an Bitcoins in den Umlauf gebracht.
Die zweite Epoche
Die zweite Epoche von Bitcoin startete mit dem bereits erwähnten Halving am 28. November 2012. In diesem Zeitraum lag die Belohnung bei 25 Bitcoins pro Block und 210.000 Blöcke später stand am 09. Juli 2016 planmäßig das nächste Halving-Event an, an welcher die Block-Belohnung dann erneut halbiert wurde auf 12,5 Bitcoins.
In der zweiten Epoche wurde folgende Gesamtmenge an neuen Bitcoins erschaffen: 25 x 210.000 = 5.250.000. Mit dem 09. Juli 2016 waren also bereits 10.500.000 + 5.250.000 = 15.750.000 Bitcoins im Umlauf, was wiederum 75 % der Gesamtmenge von 21 Millionen entspricht.
Dieses Rechenspiel lässt sich in die Zukunft immer weiter fortführen.
21 Millionen Bitcoins im Jahr 2140
Die kleinste Einheit eines Bitcoins ist ein Satoshi. 100 Millionen Satoshis ergeben einen Bitcoin oder ein Satoshi = 0,00000001 Bitcoin. Die Halving-Zyklen lassen sich so lange fortsetzen, bis die kleinste Einheit von Bitcoin nicht mehr geteilt werden kann. Also bis die Block-Belohnung der Miner auf unter einen Satoshi fällt. Berechnungen zufolge sollte dieser Zeitpunkt voraussichtlich im Jahr 2140 erreicht werden. Ab hier gibt es dann keine Belohnung für die Miner mehr.

Bitcoins Inflationsrate
In der jetzigen Epoche 4 (die Zeit nach dem 3. Halving bei der die Belohnung bei 6,25 Bitcoins liegt) beträgt die Inflation von Bitcoin ca. 1,78 % pro Jahr, da täglich neue Bitcoins der aktuell verfügbaren Menge hinzugefügt werden. Mit dem Halving welches uns 2024 erwartet, wird diese auf ca. 0,83 % fallen. Bitcoin ist also trotz seiner Begrenztheit ein inflationäres System, da ständig neue Bitcoins dazu kommen. Allerdings ist die Inflation über die Jahre gesehen stark rückläufig. Streng genommen ist Bitcoin erst ab dem Jahre 2140 deflationär. Wahrscheinlich aber bereits Jahre zuvor, da es immer wieder auch mal vorkommt, dass Bitcoins verloren gehen.
Die tolle Eigenschaft, die Bitcoin den Menschen bietet, ist völlige Transparenz. Es gibt ein mathematisches Muster, dass für jeden einsehbar ist und die Versorgung von Bitcoins aufs Detail planbar macht. Jeder weiß, wie viele Bitcoins es maximal geben wird und wie diese über die Jahre freigesetzt werden bzw. auf den Markt kommen. Es ist absolut nachvollziehbar.
Kurze Zwischenfrage: Können Sie nachvollziehen, wie viele Euros sich aktuell im Umlauf befinden und wie viele hier in Zukunft dazu kommen werden?
Aktueller Fortschritt
Am 05.01.2024 um 17:10 bestand die Bitcoin Blockchain aus 824.497 Blöcken. Zu dieser Zeit befindet sich Bitcoin in der 4. Epoche nach bisher 3 Halvings in den Jahren 2012, 2016, 2020. Mit dem heutigen Tage sind bereits 19.590.600 der insgesamt 21.000.000 Millionen Bitcoins im Umlauf.

Das nächste Halving-Event
Das nächste Halving-Event steht mit dem Block 840.000 an. Was wiederum bedeutet, dass nur noch weitere 15.503 Blöcke (Stand 05. Januar 2024) mit der Miner Belohnung von derzeit 6,25 pro Block der Blockchain hinzugefügt werden, ehe das nächste Halving stattfindet. Ausgehend von den restlichen Blöcken und der durchschnittlichen Dauer pro Block von 10 Minuten, sollte das 4. Halving ausgehend vom 05. Januar 2024 in ca. 107 Tagen sein. Auf den Tag genau würde dieses Event dann auf Freitag, den 22. April 2024 fallen. Ob das Halving tatsächlich an genau diesem Tag stattfindet, wird sich dann zeigen, aber es ist auf jeden Fall davon auszugehen, dass das Halving in den Tagen um dieses Datum stattfinden wird. Die Block-Belohnung für die Miner wird dann wie nach Plan wieder um die Hälfte auf noch 3,125 Bitcoins pro Block gekürzt werden.
In der Vergangenheit war das Halving immer ein Katalysator für steigende Bitcoin Preise, da sich das Bitcoin-Angebot verringert und bei gleich bleibender Nachfrage, Preisanstiege unausweichlich sind.

Quellenangaben:
https://www.blocktrainer.de/wissen/warum-21-millionen-bitcoin/
https://btcdirect.eu/de-at/wie-viele-bitcoins-gibt-es
